您身边的水处理顾问
专注打造环保行业实力品牌
宁经理:18853131830,15553139909
乐发vl李经理:18615581723
乐发vl销售一部:0531-88760590
销售二部:0531-88786527
工厂地址: 济南高新区孙村镇大正路与世纪大道交叉口东50米
乐发vl销售地址:山东省济南市高新区联合财富广场1号楼907
双1,6-亚己基三胺五甲叉膦酸 BHMTPMPA
多氨基多醚基甲叉膦酸 PAPEMP
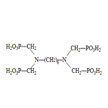
己二胺四甲叉膦酸 HDTMPA
乐发vl多元醇磷酸酯 PAPE
二乙烯三胺五甲叉膦酸 DTPMPA
乙二胺四甲叉膦酸 EDTMPA
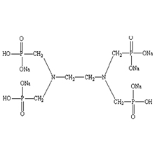
乐发vl乙二胺四甲叉膦酸钠 EDTMPS
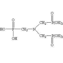
乐发vl氨基三甲叉膦酸ATMP
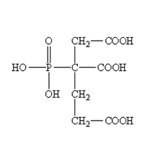
2-膦酸丁烷-1,2,4-三羧酸 PBTCA
乐发vl2-羟基膦酰基乙酸 HPAA
乐发vl羟基乙叉二膦酸 HEDP
致力于优化每个水处理项目,打造中国环保行业品牌企业
保护环境是我们每个人的责任和义务
反渗透水处理药剂
循环水处理药剂
进口反渗透水处理药剂
锅炉水处理药剂
污水处理药剂
清洗服务
水处理设备
有机磷酸(盐)
聚羧酸(盐)
蒸发器阻垢剂
公司简介
企业文化
荣誉资质
专利证书
企业风采
企业视频
联系我们
销售二部:0531-88800390
乐发vl外贸:柳经理 186-1558-7085
厂家地址: 济南高新区孙村镇大正路与世纪大道交叉口东50米
网站部分资源来源于网络,无法和版权者联系,无意侵犯,如有侵权请联系我们删除